中华人民共和国工业和信息化部
国家税务总局
公 告
2016年第29号
为促进我国交通能源战略转型、推进生态文明建设、支持新能源汽车产业发展,根据《财政部 国家税务总局 工业和信息化部关于免征新能源汽车车辆购置税的公告》(公告2014年第53号)的要求,工业和信息化部会同国家税务总局等部门对企业提交的申请材料进行了审查。现将《免征车辆购置税的新能源汽车车型目录》(第八批)予以公告。
附件:免征车辆购置税的新能源汽车车型目录(第八批)
工业和信息化部
国家税务总局
2016年6月16日
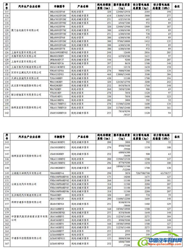
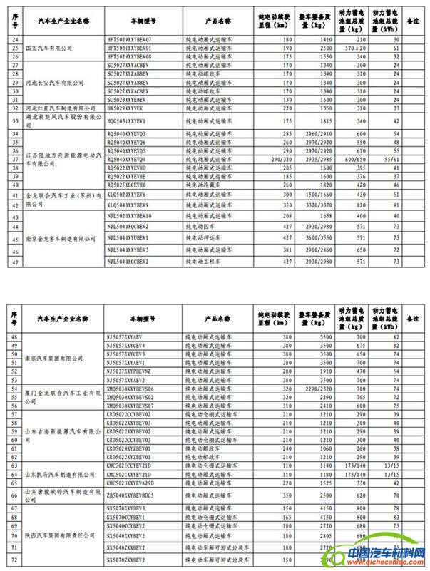
一、纯电动汽车
(一)乘用车
(二)客车








