
01 引言
在有限元仿真中,计算结果常受网格尺寸效应(Mesh Size Effect)的影响,导致随着网格尺寸变化,仿真结果显著波动。尽管细化网格可以提高计算精度,但在汽车碰撞安全仿真等工程应用中,过度细化会导致计算成本激增,降低研发效率。因此,工程上通常采用5-10mm 粗网格,并引入网格尺寸修正因子,确保不同网格尺寸下的计算结果保持一致。
研究表明,网格尺寸效应可分为几何网格依赖性(Geometric Mesh Dependency)和非物理网格依赖性(Spurious Mesh Dependency):
几何网格依赖性:主要影响应变与应力分布,通常可以通过细化网格来解决。
非物理网格依赖性:影响材料失效行为(如断裂、损伤演化),需要引入正则化策略(如网格尺寸修正因子)来解决。
为了有效应对网格尺寸效应,本文介绍三种修正方法,并通过实际案例分析其应用效果。
02方法1:单曲线修正法
在LS-DYNA的MAT_ADD_EROSION 选项中,输入基于单向拉伸试验获得的网格尺寸修正因子曲线(图 1)。该曲线用于调整网格尺寸对材料行为的影响,使不同网格尺寸的仿真结果趋于一致(图 2)。

图1 网格尺寸修正因子曲线

图2 网格尺寸修正因子曲线应用效果(单轴拉伸工况)
特点
适用于单轴拉伸工况
计算简单但适用范围有限
03方法2:增强型单曲线修正法
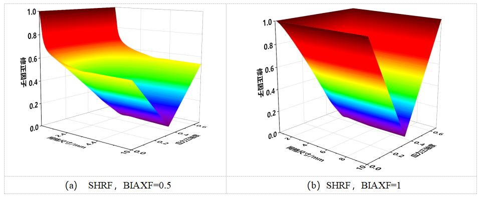
该方法在MAT_ADD_EROSION 选项中,利用 SHRF(剪切修正)和 BIAXF(双向拉伸修正)对方法 1 的曲线进行调整,并通过应力三轴度线性插值构建修正曲面(图 3)。

图3 不同SHRF,BIAXF网格尺寸修正因子曲面
特点
适用于更复杂的应力状态,但仍受限于单条基准曲线,插值方法可能影响精度。
04方法3:多应力状态三维曲面修正法
相比方法2,该方法基于多个应力状态(单轴拉伸、双轴拉伸、剪切等)的试验数据,分别标定网格尺寸修正因子曲线,并构建应力三轴度-网格尺寸-修正因子三维曲面(图 4)。

图4 多应力状态网格尺寸修正因子曲面
特点
1.适用于复杂服役工况,如冲击、弯曲、拉伸-剪切耦合等;
2.更精准地描述材料行为,提高仿真结果的可靠性;
3.标定过程较复杂,需要额外试验数据支持。
05应用案例
以帽形梁零件的准静态三点弯曲试验(图 5a)和动态落锤试验(图 5b)为例,评估方法 2 和方法 3 的仿真精度。



图5 帽型梁零件试验及仿真云图
①准静态三点弯试验(图6)
方法3误差仅-2.04%,远优于方法2(误差 16.16%)。
方法3断裂形貌与试验吻合(图 6b、6d),方法2偏差较大(图 6c)。

图6 帽型梁零件准静态三点弯试验与仿真对比
②动态落锤试验(图7)
方法3误差-12.77%,与方法2(-12.40%)接近,但断裂形貌更贴合试验(图 7b、7d)。

图7 帽型梁零件动态落锤试验与仿真对比
小结
从能量预测和断裂形貌复现两个角度分析,方法 3(多应力状态三维曲线修正法)更精准,适用于复杂工程应用。
MatFavor
如何一步解决网格尺寸效应?
多应力状态三维曲面修正法(方法 3)显著提升了粗网格仿真的精度,能够更准确预测材料在不同应力状态和网格尺寸下的变形与断裂行为。

MatFavor 最新版已集成该方法
提供全自动化网格尺寸效应修正工具:
自动计算网格修正因子,大幅减少人工标定工作量
一键生成修正输入文件,适用于主流仿真软件
显著提升粗网格仿真精度,降低工程试验成本
一步解决网格尺寸效应问题,
让材料建模更快、更准、更省!
06关于我们
重庆数元道科技有限公司(Sydo Tech)2023年成立于重庆市两江新区,依托北京理工大学重庆创新中心装备轻量化技术研究所(2019年成立)孵化,是一家集新型热成形钢研发、销售,CAE工程咨询,软件工具链开发、技术支持/培训,材料性能测试于一体的高科技创新型企业,致力于成为国内领先的汽车轻量化创新解决方案供应商。
07合作联系
电 话
15320332435(梁经理)
网 址
WWW.SYDOTECH.COM.CN
地 址
重庆市渝北区北京理工大学重庆创新中心6号楼







