抗点焊LME BaoQP®980-GI大生产钢卷
点焊液态金属脆(LME,Liquid metal Embrittlement)是超高强钢特别是第三代钢热镀锌点焊的国际共性技术难题,也是十三五项目《高性能超高强汽车用钢》需要攻克的技术难点之一,一直严重影响汽车厂对超高强钢的应用。宝钢汽车板产销研团队在总结了1~3代先进高强度钢热镀锌点焊LME规律的基础上,研发出新一代抗点焊LME的BaoQP®980-GI。
抗点焊LME BaoQP®980-GI力学性能曲线
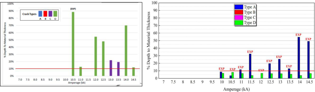
新老设计的BaoQP®980-GI 点焊LME的评估结果(钢板厚度1.5mm,D类裂纹小于10%合格)显示,新设计完全符合ASP的点焊LME评价标准。
A) 老设计 B)新设计
吉帕钢®X-GPa®家族中BaoQP®系列钢种因其具有良好的成形性和高抗腐蚀性能,主要应用于汽车白车身上形状较复杂且有耐蚀要求的结构件,其使用的策略主要有两类:
01
通过提高强度200~400MPa替代级别低的第一代先进高强度钢,实现零件减重10~20%;
02
采用冷成形替代部分热成形零件。
BaoQP®980-GI 典型应用示意图
抗点焊LME BaoQP®980-GI作为宝钢吉帕钢®X-GPa®明星产品家族的明星,肩负着吉帕钢®X-GPa®家族“推进车身减重,优化车身安全”的光荣使命,持续助推汽车“绿色·安全”新发展。







